• Предмет: Алгебра
  • Автор: Аноним
  • Вопрос задан 9 лет назад

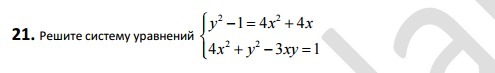
Решите систему уравнений
y^2-1=4x^2+4x
4x^2+y^2-3xy=1

Приложения:

Ответы

Ответ дал: ВладимирБ
0
Решение смотри на фото
Приложения:
Вас заинтересует