• Предмет: Алгебра
  • Автор: nastyaevdokimo1
  • Вопрос задан 9 лет назад

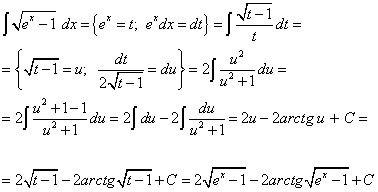
Решить интеграл (sqrt((e^x)-1))dx

Ответы

Ответ дал: Аноним
0
******************************************
Приложения:
Вас заинтересует