• Предмет: Алгебра
  • Автор: AVRORA444
  • Вопрос задан 9 лет назад

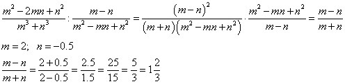
Найдите значение выражения: m^2-2mn+n^2/m^3+n^3 : m-n/m^2-mn+n^2 при m=2, n=-0.5

Ответы

Ответ дал: manyny06
0
решение смотри на фотографии
Приложения:
Ответ дал: Аноним
0
*****************************
Приложения:
Вас заинтересует