• Предмет: Алгебра
  • Автор: sahshshbsbs
  • Вопрос задан 9 лет назад

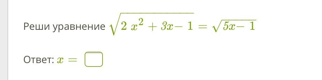
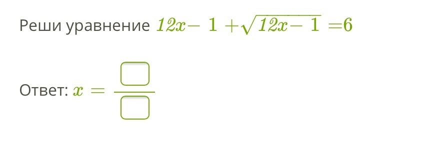
Алгебра 8 класс. Решите пожалуйста задание.
Нужны только ответы.

Приложения:

Ответа на этот вопрос пока нет. Попробуйте найти его через форму поиска.

Вас заинтересует