• Предмет: Физика
  • Автор: WarfaceНикита
  • Вопрос задан 9 лет назад

помогите с задачей , если можно , то с решением

Приложения:

Ответы

Ответ дал: o2784913
0
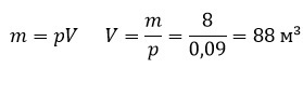
Если что, то сами округлите.
Приложения:
Вас заинтересует