• Предмет: Алгебра
  • Автор: AnastasiyaSm
  • Вопрос задан 9 лет назад

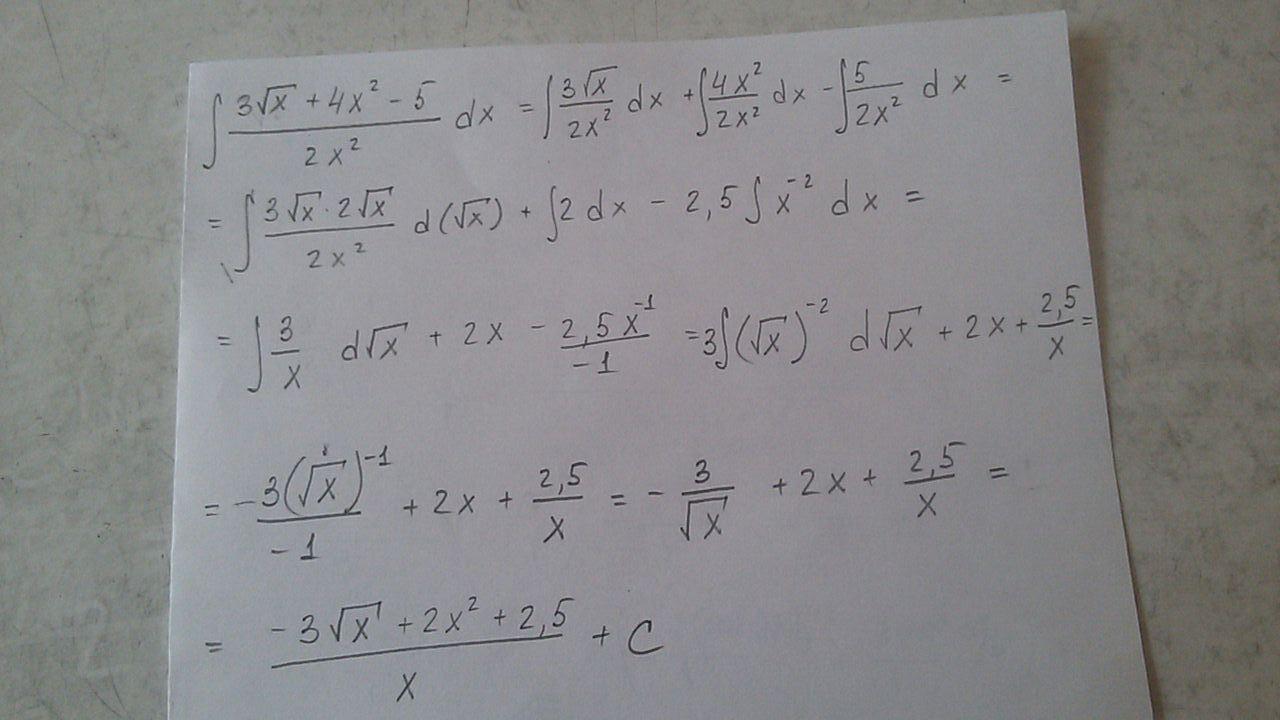
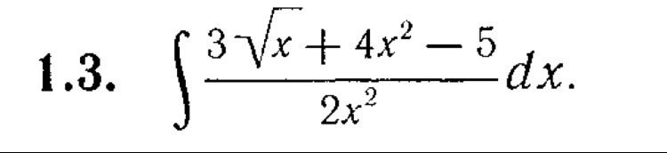
Найдите неопределённый интеграл и проверьте дифференцированием! Срочно пожалуйста!

Приложения:

Ответы

Ответ дал: Ртуть3
0
Наверное, как-то так..........
Приложения:
Вас заинтересует