Ответы
Ответ дал:
0
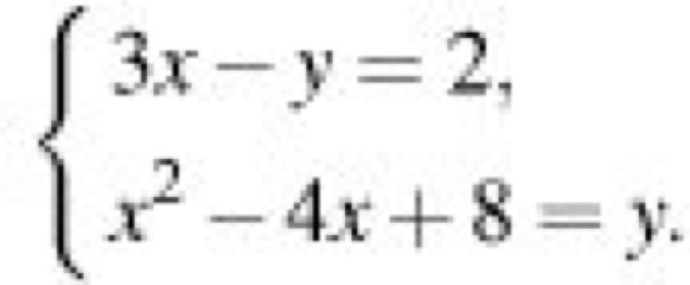
3x-y=2 => y=3x-2
x^2-4x+8=3x-2
x^2-7x+10=0
x= 2 и 5 y=4 и 13
x^2-4x+8=3x-2
x^2-7x+10=0
x= 2 и 5 y=4 и 13
Вас заинтересует
2 года назад
2 года назад
7 лет назад
7 лет назад
10 лет назад
10 лет назад
10 лет назад