• Предмет: Геометрия
  • Автор: enzochaly
  • Вопрос задан 9 лет назад

помогите решить пожалуйста это срочно

Приложения:

Ответы

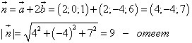
Ответ дал: Аноним
0
***********************
Приложения:
Ответ дал: Маkсик
0
Молодец! 5
Вас заинтересует