Ответы
Ответ дал:
0
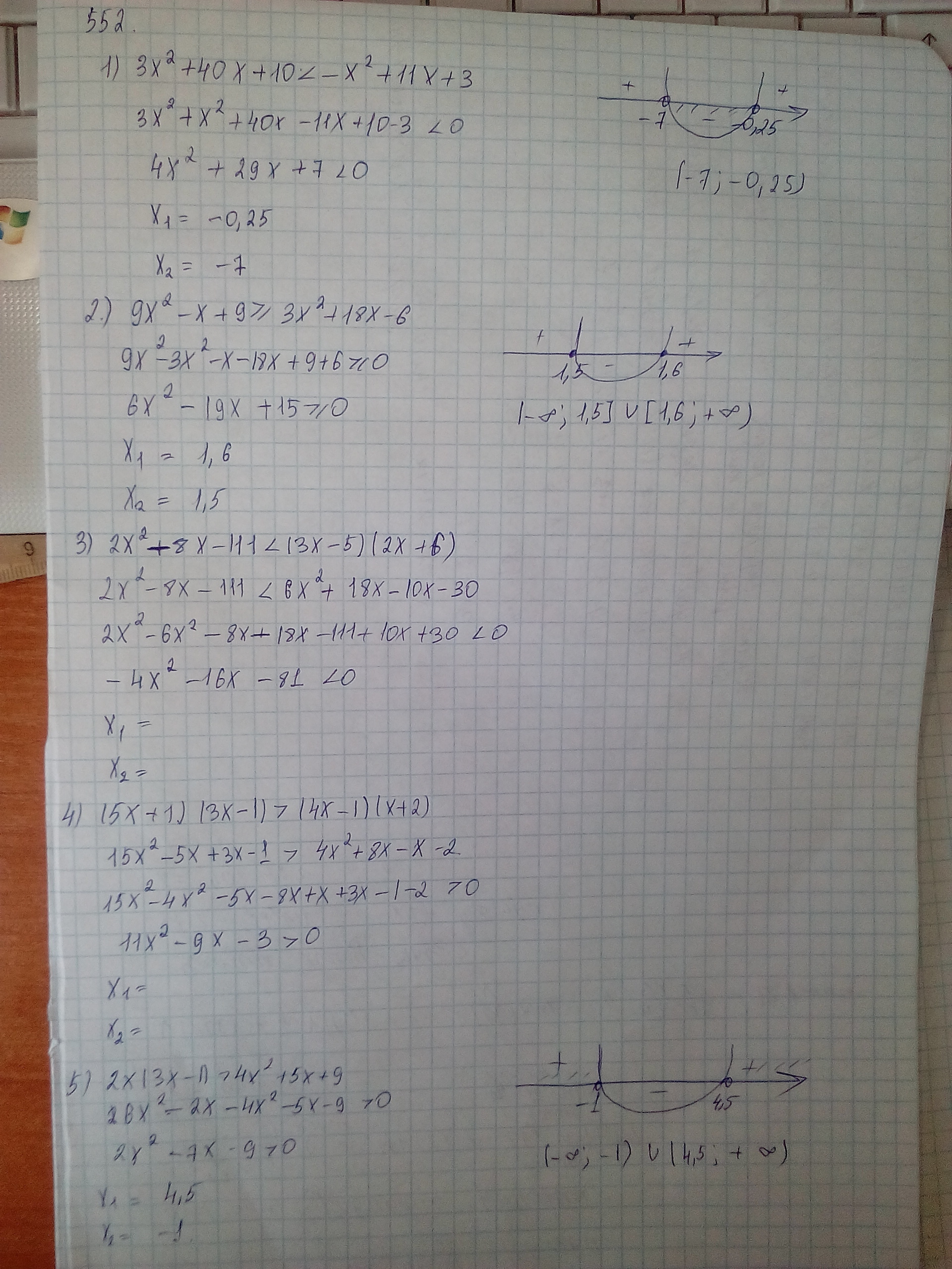
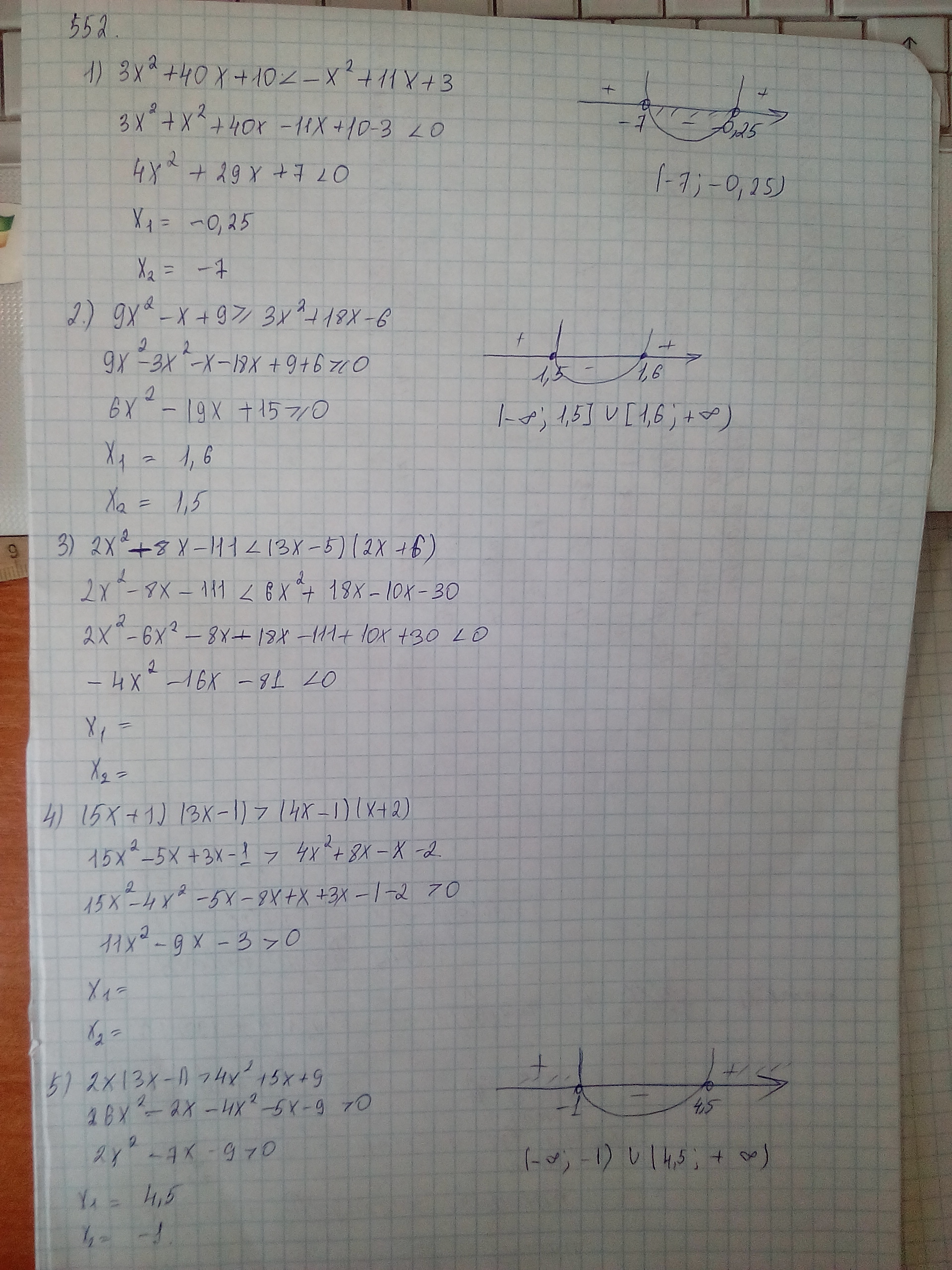
какие смогла, сделала
рада помочь)
рада помочь)
Приложения:




Ответ дал:
0
большое спасибо
Ответ дал:
0
всегда пожалуйста
Ответ дал:
0
красавица у тебе есть вк
Вас заинтересует
2 года назад
2 года назад
7 лет назад
9 лет назад
9 лет назад