• Предмет: Алгебра
  • Автор: Аноним
  • Вопрос задан 11 лет назад

х^2-49

--------------

х^2+9х+14

Дайте полное решение

Надо сократить дробь

^2-это в квадрате

---------это черта деления

Ответы

Ответ дал: Valeriya05
0

Должно быть все понятно

Приложения:
Ответ дал: Аноним
0

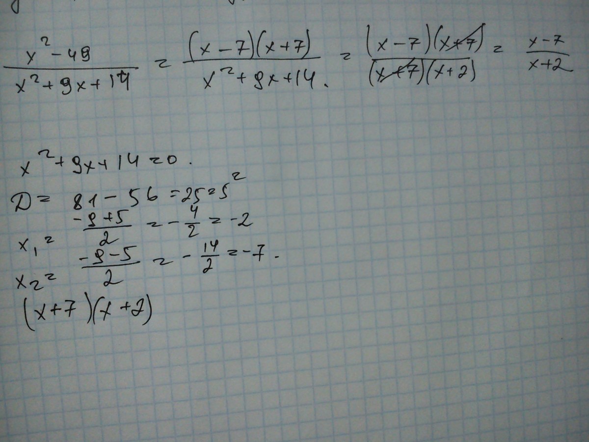
1) X^2 - 49 = (X-7)*(X+7)

2) X^2 + 9X + 14 = 0

D = 81 - 4*1*14 = 81 - 56 = 25

V D = 5

X1 = - 9 + 5 2 = - 4 2 = - 2

X2 = - 9 - 5 2 = - 14 2 = - 7

(X+2)*(X+7)

3) (x-7)*(X+7) (X+2)*(X+7) = X-7 X+2

................................

Получаем: Х - 7  Х + 2

 

 

 

 

 

 

 

 

 

 

 

 

 

 

 

 

 

 

Приложения:
Вас заинтересует