Срочно, даю 55!!!!!!!!!!!!!!!!!!! Решите неравенство с учетом О.Д.З. Заранее спасибо)
Приложения:

Ответы
Ответ дал:
0
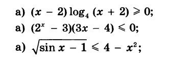
решение на фотографии
Приложения:

Вас заинтересует
2 года назад
2 года назад
9 лет назад
9 лет назад