помогите плиз решить уравнения -3(2,1x-4)-4,2=1,2(-5x+0,5) 6,4(2-3y)=6(0,8y-1)+6,8 3,2(5x-1)=3,6x-4,9
Ответы
Ответ дал:
0
1)-3(2,1x-4)-4,2=1,2(-5x+0,5)
-6,3х+12-4,2=-6х+0,6
-6,3х+6х=0,6-12+4,2
-0,3х=-7,2
х=24
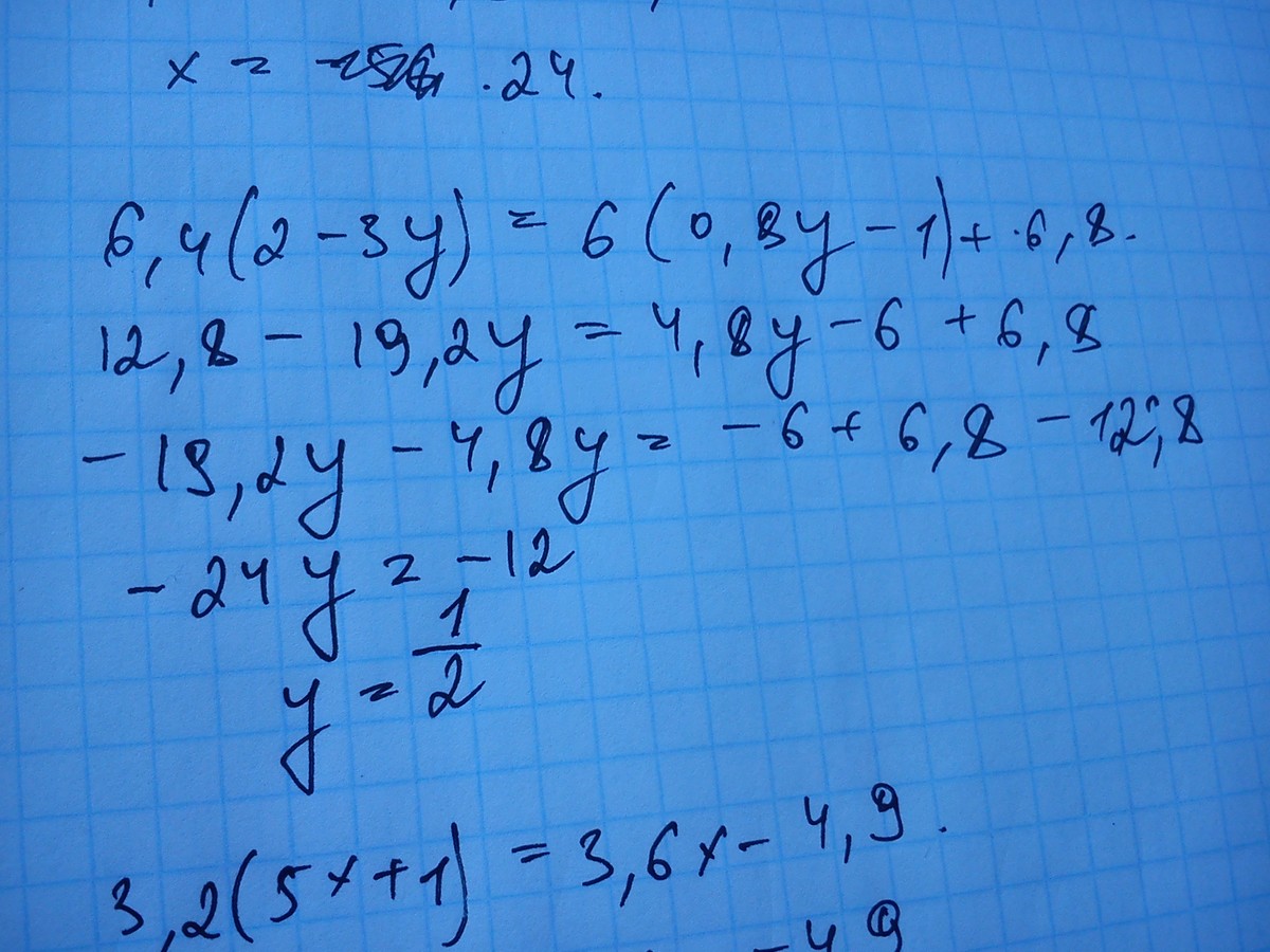
2)6,4(2-3y)=6(0,8y-1)+6,8
12,8-19,2у=4,8у-6+6,8
-19,2у-4,8у=0,8-12,8
-24у=-12
у=0,5 извините)
3)3,2(5x-1)=3,6x-4,9
16х-3,2=3,6х-4,9
16х-3,6х=-4,9+3,2
12,4х=-1,7
х≈-0,137
Ответ дал:
0
во втором ошибка, решение во вложениях..
Приложения:

Вас заинтересует
8 лет назад
8 лет назад
10 лет назад
10 лет назад