• Предмет: Алгебра
  • Автор: Horizon8
  • Вопрос задан 9 лет назад

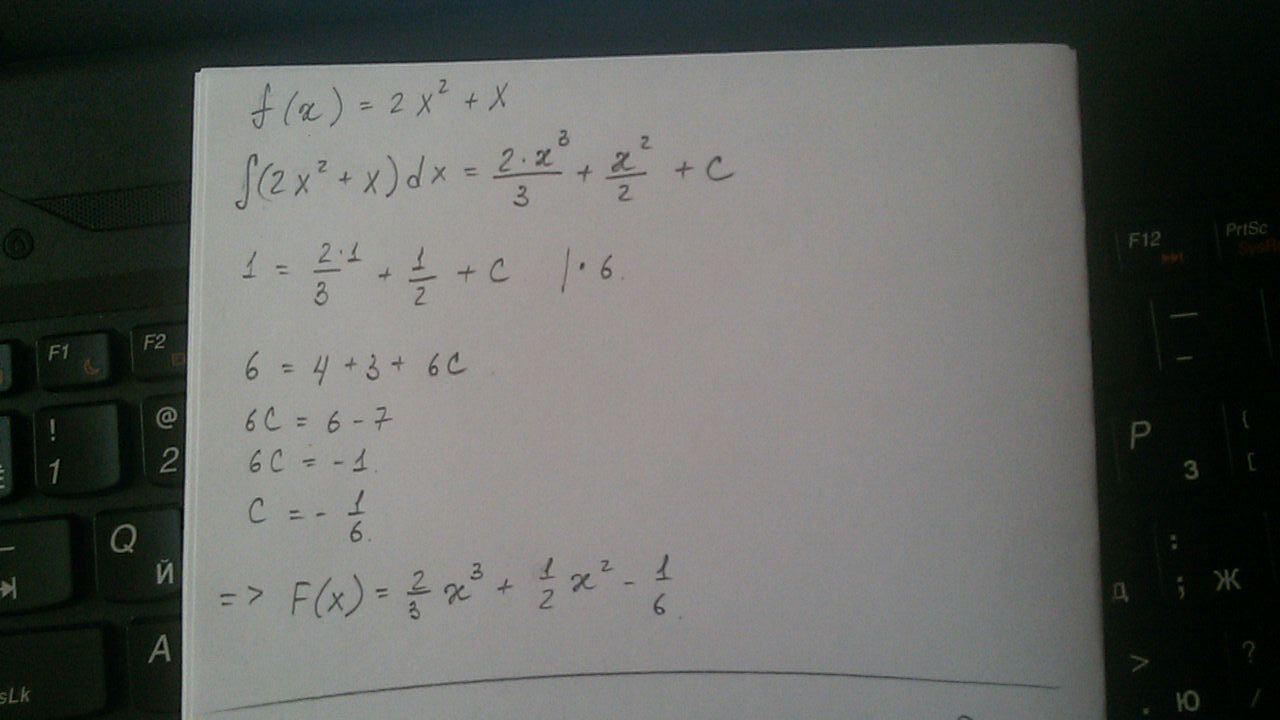
Найти первообразную функции,график которой проходит через указанную точки.
F(x)=2x^2+x. A(1;1)

Ответы

Ответ дал: Ртуть3
0
Наверное, так..................................
Приложения:
Ответ дал: Horizon8
0
А можешь объяснить почему ты на 6 умножил ?
Ответ дал: Ртуть3
0
Можешь привести все к общему (который равен 6) и решать пропорцией
Ответ дал: Ртуть3
0
Просто так быстрее и удобнее. Ответ получается одинаковый)
Ответ дал: Ртуть3
0
А домножать и делить обе части уравнения мы можем на любое чило
Вас заинтересует