• Предмет: Алгебра
  • Автор: lolkekcheburashechka
  • Вопрос задан 9 лет назад

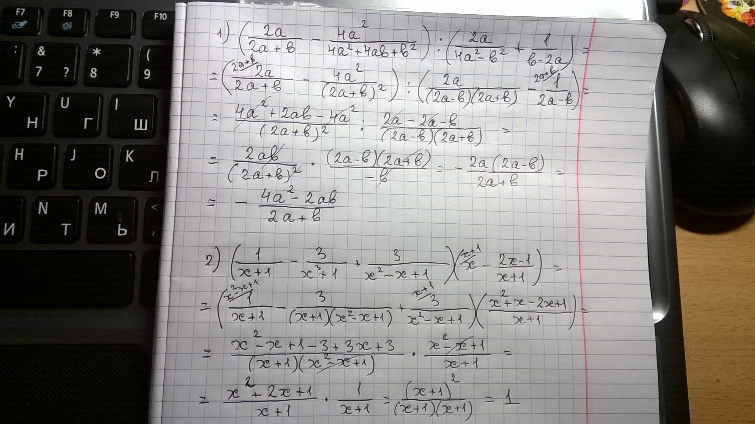
Можете решить 581 (1,2) пожалуйста! !! Заранее спасибо!

Приложения:

Ответы

Ответ дал: ВикаВикторовна
0
решение на фото........................
Приложения:
Вас заинтересует