Ответы
Ответ дал:
0
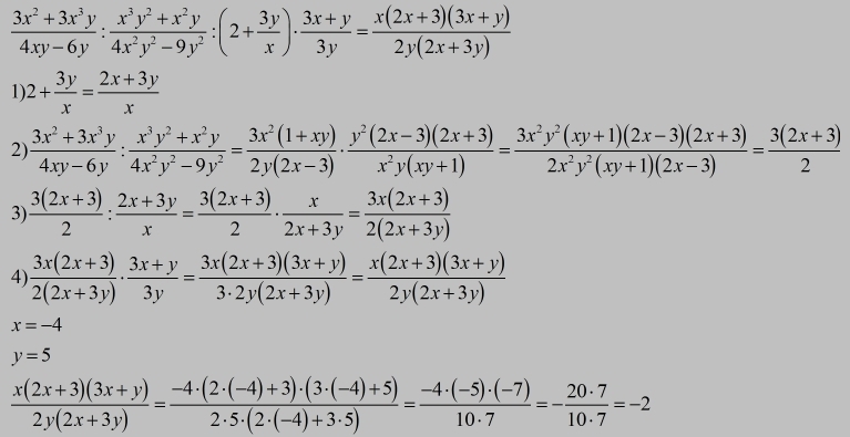
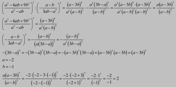
В первом примере немного громоздкая формула получилась, но я проверил ее несколько раз, надеюсь, что все верно. Если кто-то предложит вариант покомпактней, я бы хотел его здесь увидеть. Во втором случае получилось проще, надеюсь вы поймете.
Приложения:


Вас заинтересует
2 года назад
7 лет назад
9 лет назад
10 лет назад