• Предмет: Алгебра
  • Автор: vladignatov205
  • Вопрос задан 9 лет назад

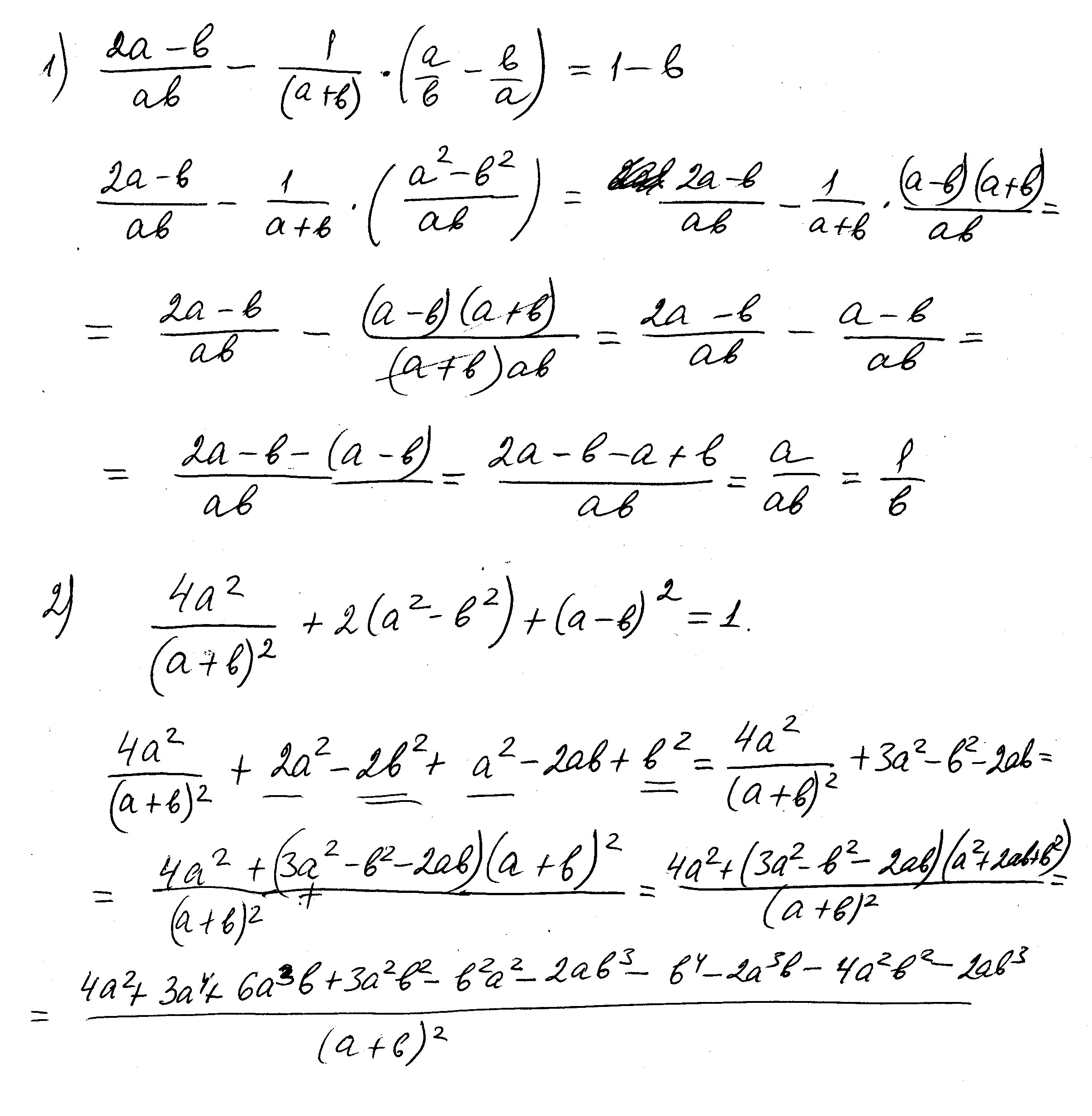
Докажите тождество. 1. ((2a-b)/(a*b))-((1)/(a+b)*((a/b)-(b/a))=(1-b) 2. 4a^2/((a+b)^2+2(a^2-b^2)+(a-b)^2=1

Ответы

Ответ дал: samodina
0
посмотри - что не так в записи? Я так понимаю, что само тождество записано неверно
Приложения:
Вас заинтересует