• Предмет: Алгебра
  • Автор: Аноним
  • Вопрос задан 9 лет назад

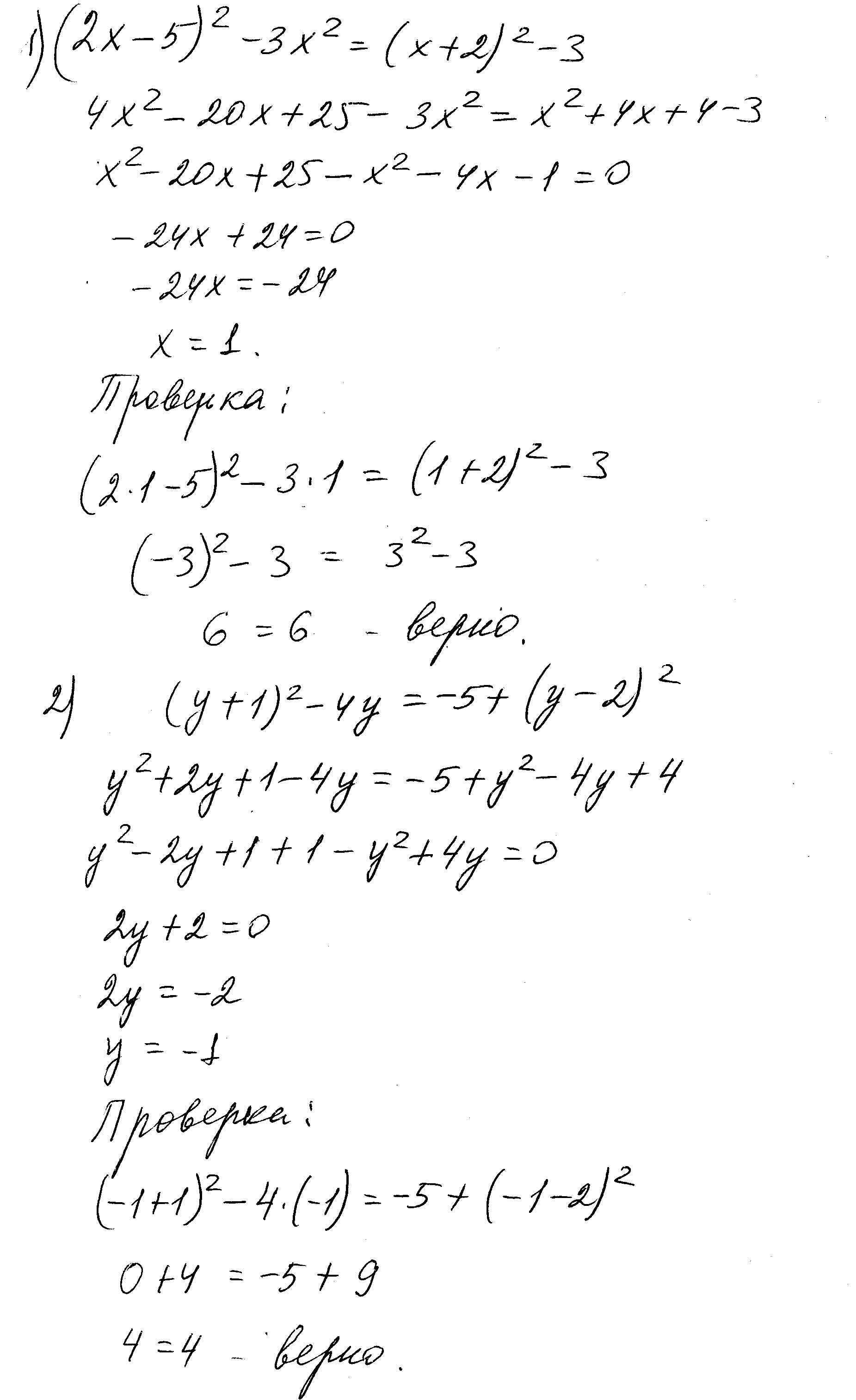
решите уравнение и сделайте проверку
(2х - 5)² -3х²=(х+2)² - 3
(y+1)²-4y= -5+(y-2)²

Ответы

Ответ дал: samodina
0
решение во вложенном файле
Приложения:
Вас заинтересует