Ответы
Ответ дал:
0
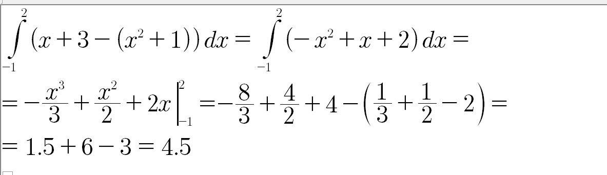
см фото + решение
=======================================
=======================================
Приложения:


Вас заинтересует
2 года назад
7 лет назад
7 лет назад
9 лет назад
9 лет назад