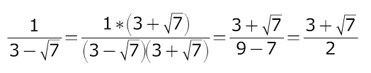
Какое из данных ниже чисел является значением выражения 1 / 3 - √7. Ответом на него является 3 + √7 / 2. Я не совсем понимаю откудого взялась цифра 2
Ответы
Ответ дал:
0
при записи дроби в строку обязательно брать и числитель и знаменатель в скобки !! иначе не понятно где именно числитель, а где знаменатель...
---------------------------------------------------------------------------------------------------------
чтобы избавиться от иррациональности в знаменателе, нужно умножить и числитель и знаменатель на выражение, сопряженное знаменателю...
в знаменателе получится формула разность квадратов ---оттуда и цифра 2
---------------------------------------------------------------------------------------------------------
чтобы избавиться от иррациональности в знаменателе, нужно умножить и числитель и знаменатель на выражение, сопряженное знаменателю...
в знаменателе получится формула разность квадратов ---оттуда и цифра 2
Приложения:

Вас заинтересует
7 лет назад
7 лет назад
9 лет назад
10 лет назад
10 лет назад