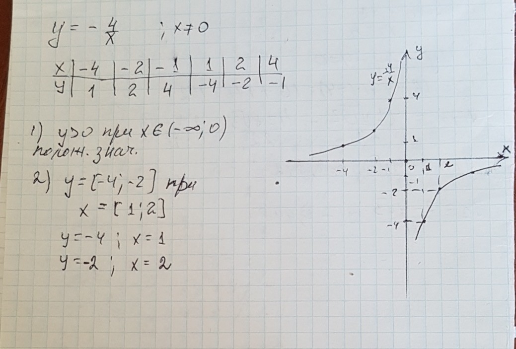
Начертите график функции y=-4/x и укажите промежутки где функция принимает: 1) положительные значения; 2) значение между -4 и -2.
Ответы
Ответ дал:
0
решение задания смотри на фотографии
Приложения:

Ответ дал:
0
спасибо
Ответ дал:
0
пожалуйста
Вас заинтересует
2 года назад
7 лет назад
7 лет назад
10 лет назад