• Предмет: Алгебра
  • Автор: Jullika
  • Вопрос задан 11 лет назад

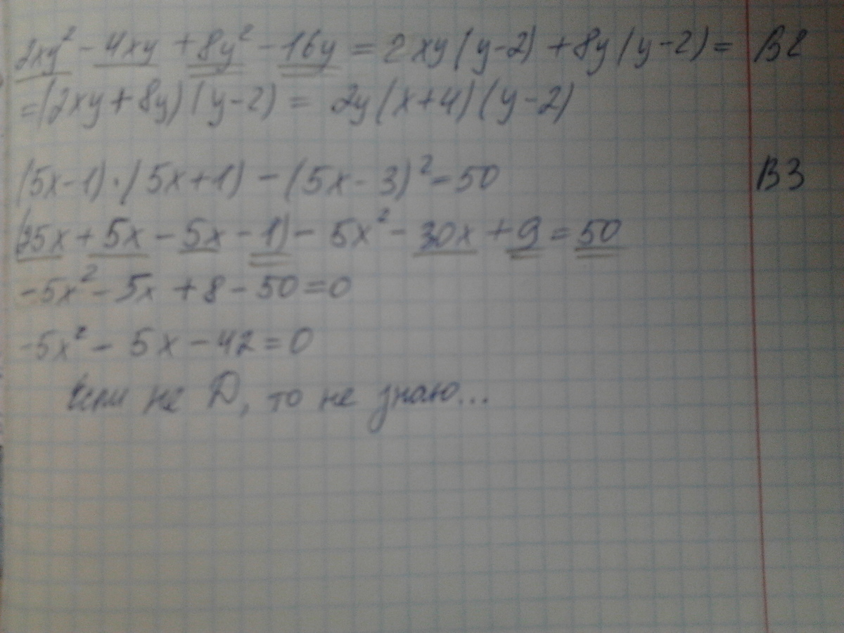
Помогите, пожалуйста)) ответы есть, нужно только решение!! кому не трудно, решите все на листке и пришлите мне фотографиями :) часть 3 ( C ) решите только первое, но если сможете то все, ответы сказать могу. решение очень нужно особенно на C1 и часть B. все остальное, если сможете))) ВНИМАНИЕ! РЕШАТЬ ВСЕ УРАВНЕНИЯ И ТД НАДО НЕ ЧЕРЕЗ ТЕОРЕМУ ВИЕТА ИЛИ ДИСКРИМИНАНТ. ЕЩЕ НЕ ПРОХОДИЛИ. ( 7 класс окончен )

Приложения:

Ответы

Ответ дал: klimovatatyana
0

.........................

Приложения:
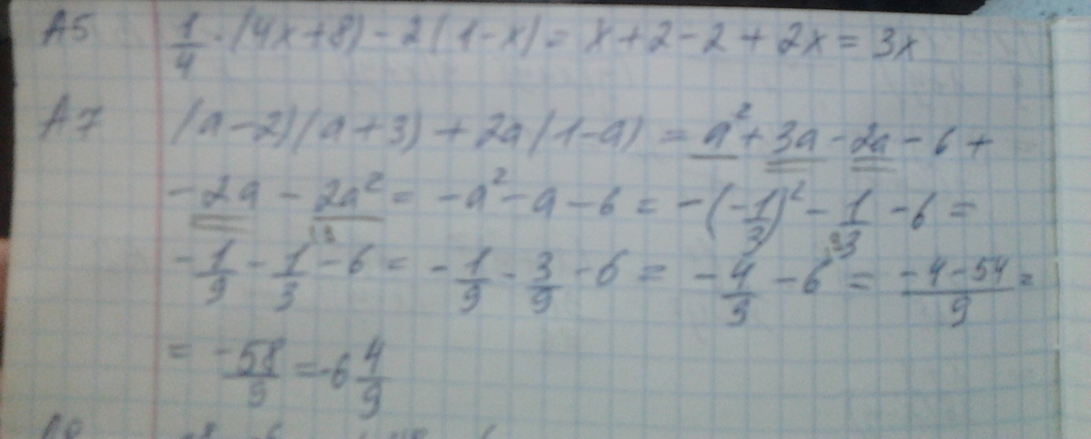
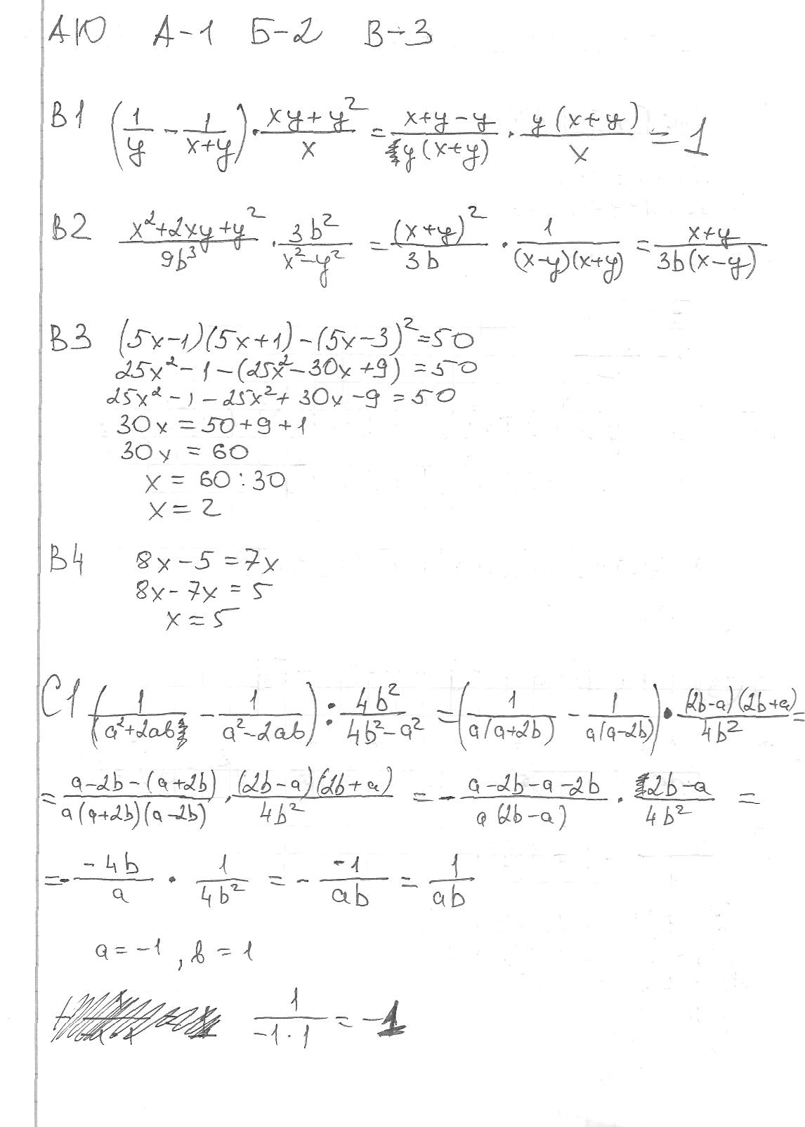
Ответ дал: Yena
0

.................................................................................................................

Приложения:
Вас заинтересует