• Предмет: Алгебра
  • Автор: nikitaaz
  • Вопрос задан 11 лет назад

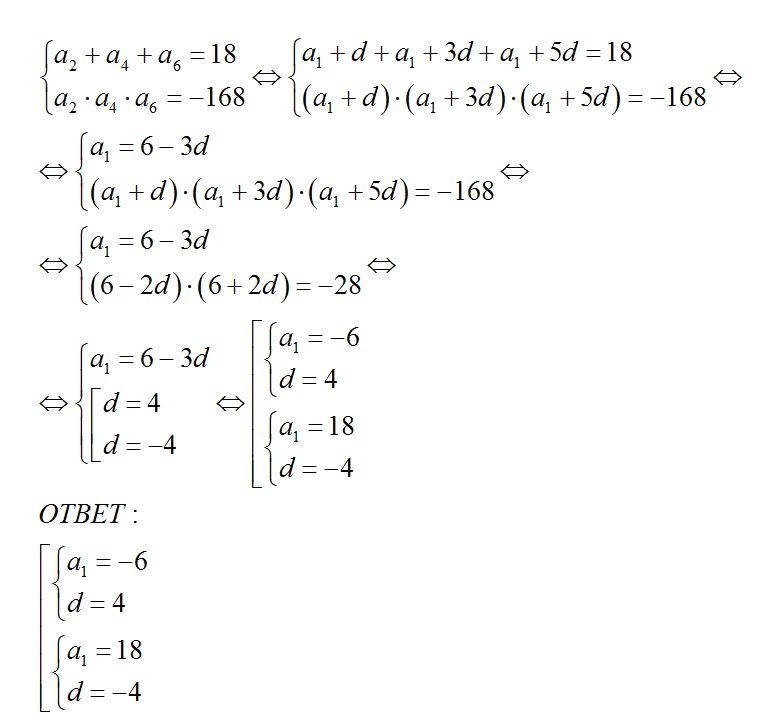
Сумма второго, четвертого и шестого членов арифметической прогрессии равно 18, а их произведение равно -168. Найдите первый член и разность прогрессии.

Ответы

Ответ дал: Аноним
0

Решим как систему уравнений!

 

Получим два варианта ответа)

 

см. вложение

===============================

Приложения:
Вас заинтересует