• Предмет: Алгебра
  • Автор: aleksvina
  • Вопрос задан 11 лет назад

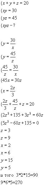
X+Y+Z=20 XY=30 YZ=45 XYZ?

Ответы

Ответ дал: Матов
0

///////////////////////////////////////////////

 

 

Приложения:
Ответ дал: Sky09
0

x+y+z=20; xy=30; yz=45

 

x+z=20-y

 

xy+yz=75

y(x+z)=75

 

y(20-y)=75

20y-y^2-75=0

y=5                                         y=15

xy=30 -> x=6                         xy=30 -> x=2

yz=45 -> z=9                         yz=45 -> z=3

 

xyz=5*6*9=270                    xyz=15*2*3=90

 

Ответ: 270 или 90

 

Приложения:
Вас заинтересует