• Предмет: Алгебра
  • Автор: badalova499лианачка
  • Вопрос задан 9 лет назад

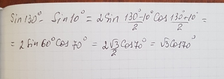
Sin 130°-sin 10° помогите решить

Ответы

Ответ дал: подкожного
0
решение задания смотри на фотографии
Приложения:
Вас заинтересует