• Предмет: Алгебра
  • Автор: forik
  • Вопрос задан 11 лет назад

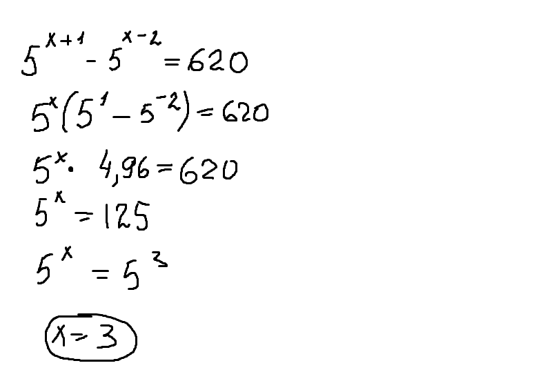
помогите решить 5x+1-5x-2=620

Ответы

Ответ дал: Аноним
0

это показ. ур-ие!!

Вот так решается

 

 

 

 

Приложения:
Вас заинтересует