Ответы
Ответ дал:
0
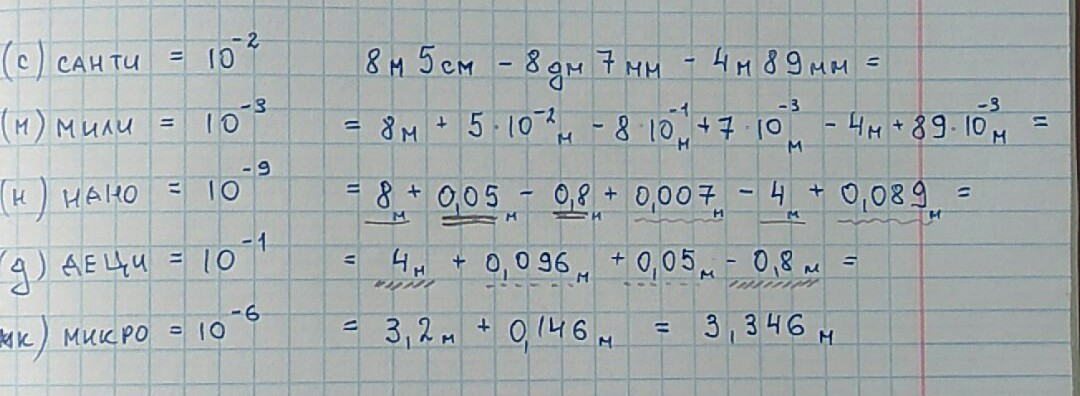
Переведем все в ММ:
80050-807-4089=75154 (мм)=75м 1дм 5см 4мм
80050-807-4089=75154 (мм)=75м 1дм 5см 4мм
Ответ дал:
0
... ... ..
... ... ..
... ... ..
Приложения:

Вас заинтересует
2 года назад
2 года назад
7 лет назад
7 лет назад
10 лет назад