• Предмет: Алгебра
  • Автор: Aikosechka
  • Вопрос задан 11 лет назад

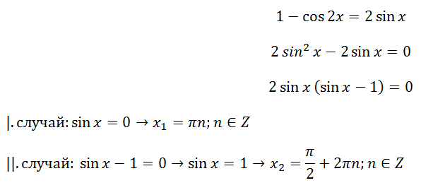
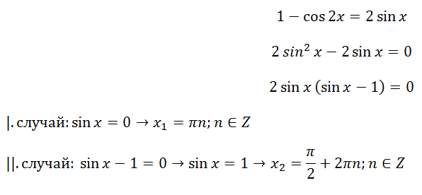
1-cos2x=2sinx

Log1/3(1-2x)>-1

 

Ответы

Ответ дал: AvatarDjok
0

1-cos2x=2sinx

1-cos^2 x+sin^2 x=2sinx

2sin^2 x=2sinx

sin^2 x=sinx

sin^2 x-sinx=0

sinx(sinx-1)=0

sinx=0

x=pi*k; k пр. Z

sinx-1=0

sinx=1

x=pi/2+2pi*k; k пр. Z.

 

log1/3(1-2x)>-1                      1-2x>0; 2x<1; x<1/2 (ОДЗ)

log1/3(1-2x)>log 1/3 3

1-2x<3

2x>-2

x>-1

 

Ответ: x пр. промежутку (-1;0.5)

Ответ дал: AlbuRin
0

!!!!!!!!!!!!!!!!!!!!!!!!!!!!!!!!!!!!!!!!!!!!!!!!!!!!!!!!!!!!!!!!!!!!!!!!!!!!!!!!!!!!

Приложения:
Вас заинтересует