• Предмет: Алгебра
  • Автор: DaLi13
  • Вопрос задан 11 лет назад

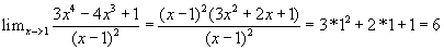
lim(x->1) 3x^4-4x^3+1/(x-1)^2

Ответы

Ответ дал: Матов
0

///////////////////////////////////////////

Приложения:
Ответ дал: kiskam
0

bf lim_{x to 1} frac{3x^4-4x^3+1}{(x-1)^2}=\lim_{x to 1} frac{(3x^2+2x+1)(x-1)^2}{(x-1)^2}=lim_{x to 1}(3x^2+2x+1)=3+2+1=6

Приложения:
Вас заинтересует