• Предмет: Алгебра
  • Автор: lol22222
  • Вопрос задан 11 лет назад

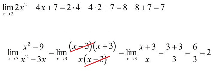
вычислите пределы lim{x→2}(2x^2-4x+7)

lim{x→3}x^2-9/x^2-3x

то что в { } в низу / дробь

Ответы

Ответ дал: Гоша68
0

lim (2x^2-4x+7)=2*4-4*2+7=7

(x^2-9)/x(x-3)=x+3/x=1+3/x

lim = 1+3/3=2

Ответ дал: Аноним
0

см. вложение

=====================================================

 

Приложения:
Вас заинтересует