• Предмет: Алгебра
  • Автор: 80082014
  • Вопрос задан 9 лет назад

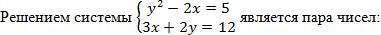
a. (0; 6)
b. (3; 2)
c. (2; 3)
d. (4; 0)

Приложения:

Ответа на этот вопрос пока нет. Попробуйте найти его через форму поиска.

Вас заинтересует