• Предмет: Алгебра
  • Автор: 1234567898765432135
  • Вопрос задан 11 лет назад

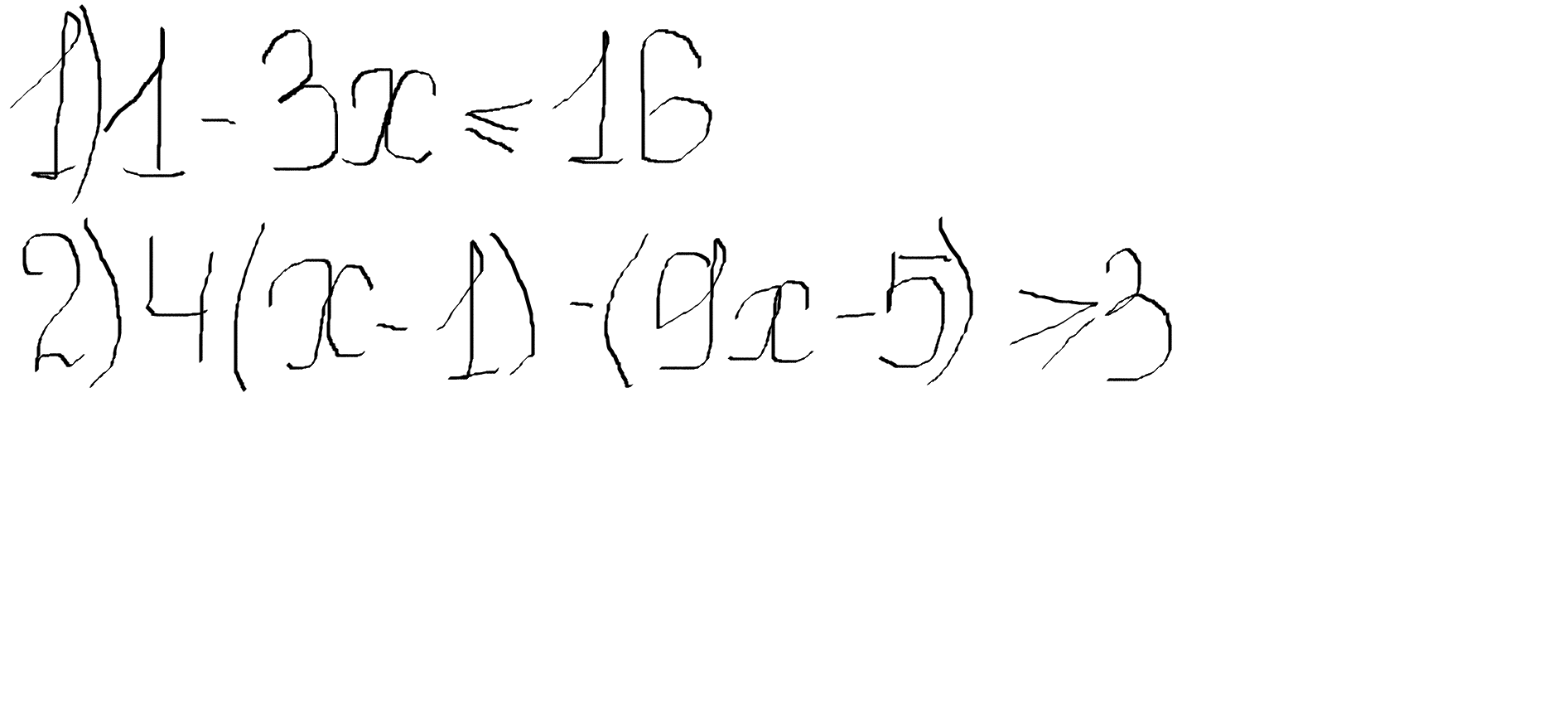
пжл решите!)..........................

Приложения:

Ответы

Ответ дал: русская25
0

..................................................

Приложения:
Ответ дал: AlbuRin
0

1)     1-3х<16     3x>1-16    3x>-15   x>  или  равно -5

  2)4(х-1)-(9х-5)>3     4x-4  -9x  +5>3     -5x>3-1  5x<-2     x<  или  равно-0,4 

Приложения:
Вас заинтересует