• Предмет: Математика
  • Автор: Аноним
  • Вопрос задан 11 лет назад

№1 Упростите выражение : в корне 8 * на корень 6 деленное на корень 24 . №2 Выполните действие ( а деленное на b - b деленное на а) * 3аb деленное на а+b , если ab, (a-b) не равны 0. №3 Решите неравенство : 9х +2 > 3(7-2х)-4. Заранее спасибо!

Ответы

Ответ дал: Аноним
0

N 1

V 8 * V 6 V 24 = V (8 * 6 ) V 24 = V ( 4824) = V 2 = 1.4

N 2

(A B - B A)*3AB A + B= A^2 - B^2 AB * 3ABA+B = 3*(A-B) = 3A - 3B

N 3

9X + 2 > 3*(7-2X) - 4

9X +2 > 21 - 6X - 4

9X+6X > 17 - 2

15X > 15

X > 1

ответ: от 1 до плюса бесконечность (1 не входит)

 

 

 

 

 

 

 

 

 

 

 

 

 

 

 

 

 

 

 

 

 

 

 

 

Ответ дал: Мудрилко
0

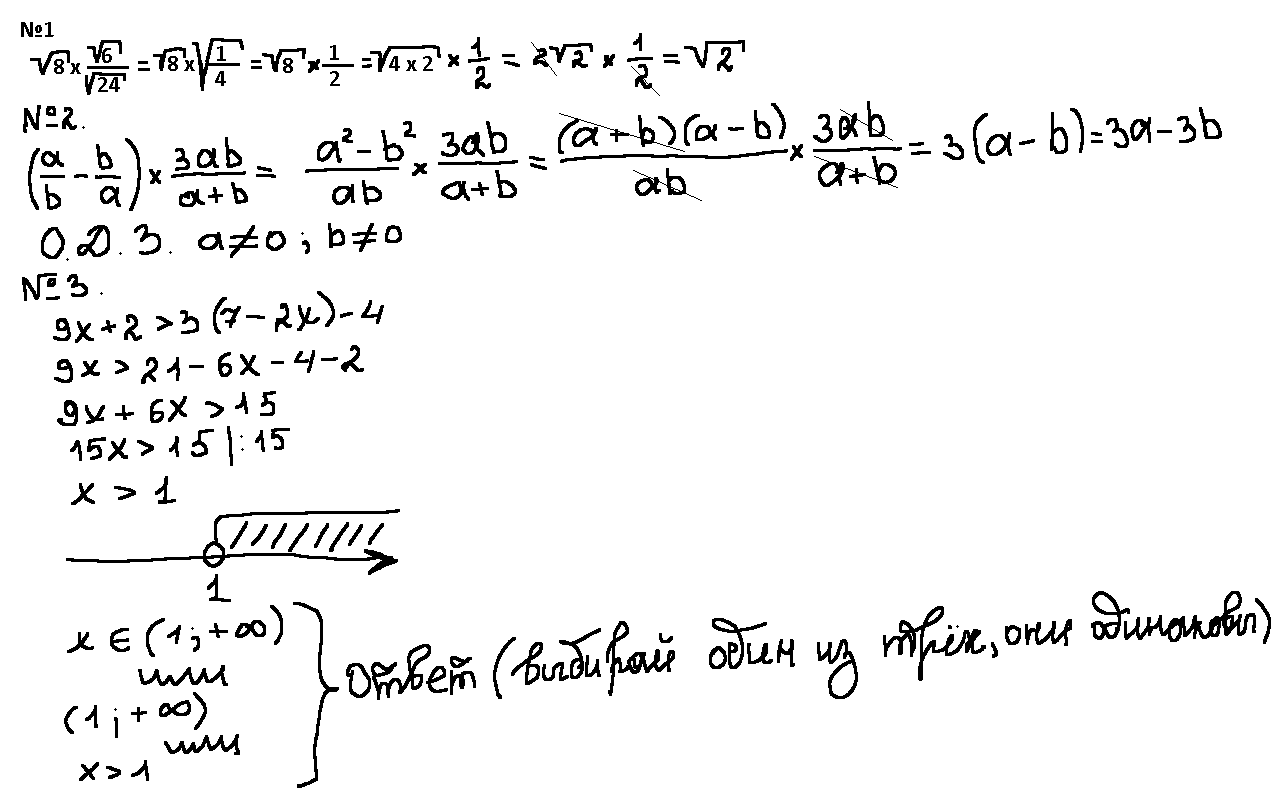
№1.

√8 × √6 / √24 = √8 × √1 / √4 = √8 × ½ = 2√2 × ½ = √2

 

Приложения:
Вас заинтересует