Ответы
Ответ дал:
0
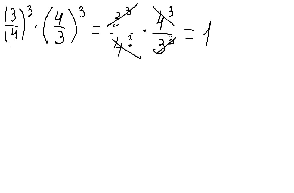
27/64 * 64/27 = 1
Ответ: 1
Ответ: 1
Ответ дал:
0
смотри на фото внизу все делаем по св-ву степеней
Приложения:


Ответ дал:
0
Не знаю
Ответ дал:
0
Ты что то не то отправил
Ответ дал:
0
смотри внимательно,что отправляешь,не ищи виноватого на стороне.
Вас заинтересует
2 года назад
2 года назад
7 лет назад
7 лет назад
9 лет назад
9 лет назад
10 лет назад