• Предмет: Химия
  • Автор: Аноним
  • Вопрос задан 9 лет назад

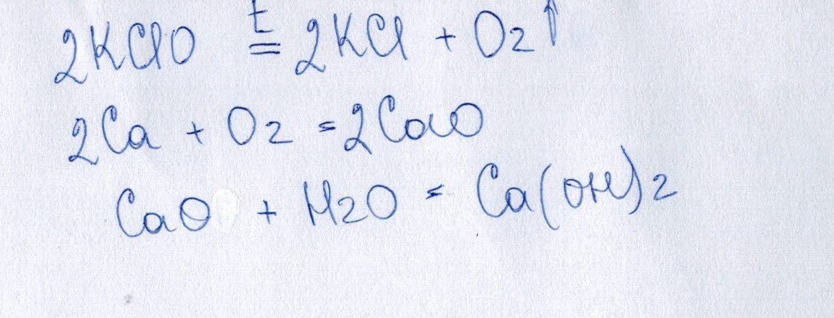
Здійснити перетворення: KClO? > O? > CaO > Ca(OH)?

Ответы

Ответ дал: lyubalukyanova
0
вот...разбирайтесь пожалуйста
Приложения:
Ответ дал: janislav
0
2KClO3 (t°c, MnO2) =2KCl+3O2
2Ca+O2=2CaO
CaO+H2O=Ca(OH)2
Приложения:
Вас заинтересует