Ответы
Ответ дал:
0
смотри прикрепленное фото
Приложения:

Ответ дал:
0
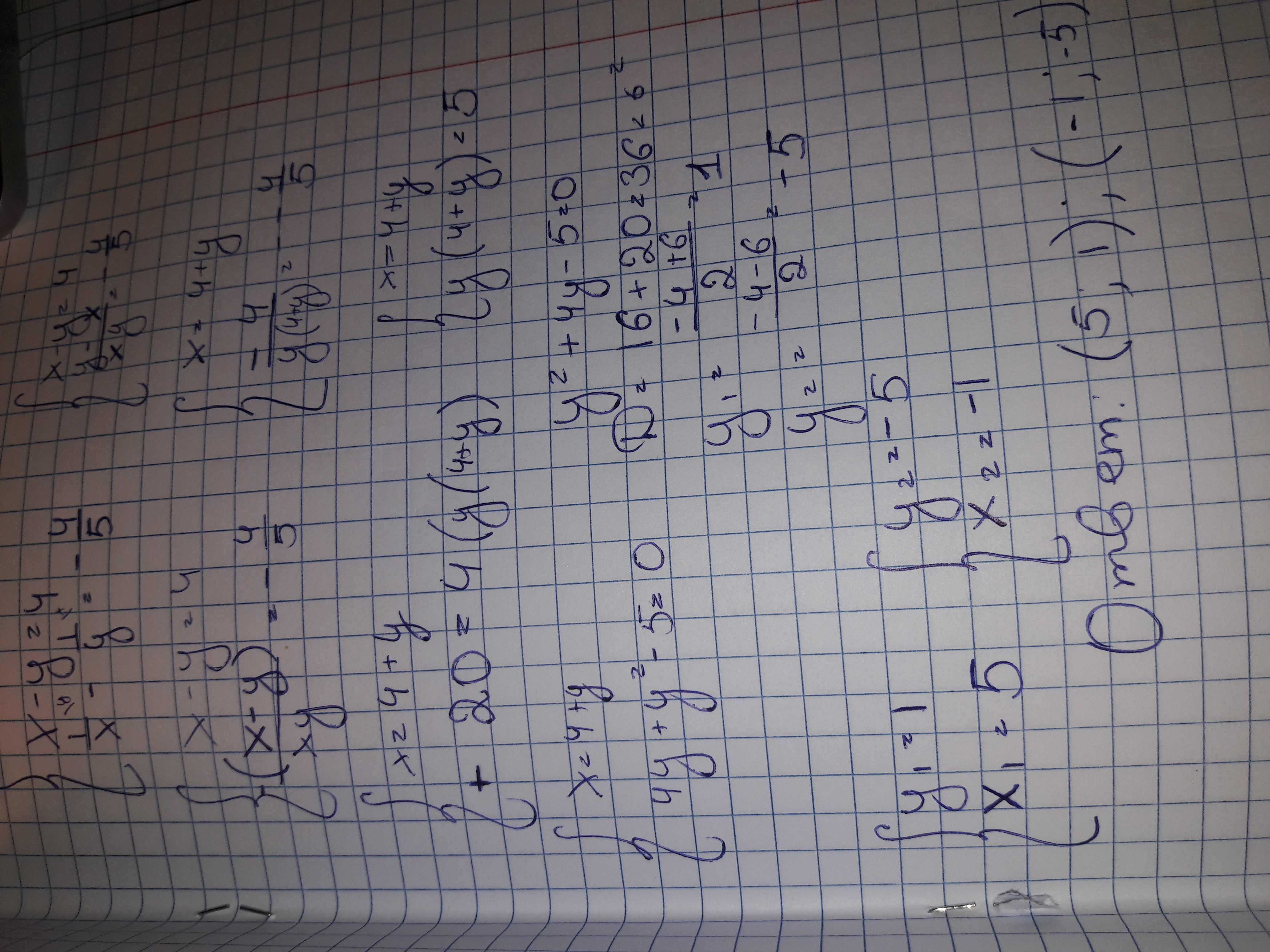
Замена несложная.
{y=x-4
{1/X+1/(x-4)=(-4)/5
{y=x-4
{(x-4-x)/(x^2-4x)=(-4)/5
умножаем крест накрест, получаем
{у=х-4
{-20=16х-4х^2
{y=x-4
{4x^2-16x-20=0 |:4
{y=x-4
{x^2-4x-5=0
По теореме Виета
{y=x-4
{X=5;X=-1
{х=5 {х=-1
{у=1 {у=-5
{y=x-4
{1/X+1/(x-4)=(-4)/5
{y=x-4
{(x-4-x)/(x^2-4x)=(-4)/5
умножаем крест накрест, получаем
{у=х-4
{-20=16х-4х^2
{y=x-4
{4x^2-16x-20=0 |:4
{y=x-4
{x^2-4x-5=0
По теореме Виета
{y=x-4
{X=5;X=-1
{х=5 {х=-1
{у=1 {у=-5
Приложения:

Вас заинтересует
2 года назад
7 лет назад
7 лет назад
9 лет назад
9 лет назад
10 лет назад