• Предмет: Алгебра
  • Автор: timaeus
  • Вопрос задан 9 лет назад

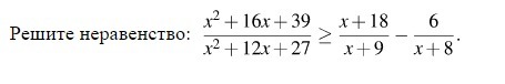
ПОМОГИТЕ РЕШИТЬ НЕРАВЕНСТВО! x^2+16x+39/x^2+12x+27 >= x+18/x+9 - 6/x+8
пожалуйста, не через систему

Приложения:

Ответы

Ответ дал: UluanaV
0
Решение в прикрепленном файле.
Приложения:
Вас заинтересует