Ответы
Ответ дал:
0
Правило Лопиталя: предел дроби равен пределу отношения производных числителя и знаменателя.
lim f(x) / g(x) = lim f'(x) / g'(x)
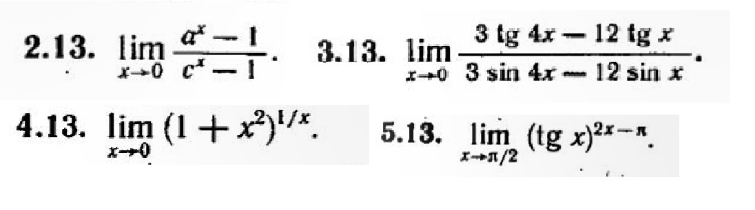
2.13

3.13




4.13.

Здесь exp(z) - это функция e^z. Я ее написал, чтобы не мельчить в трехэтажных показателях степеней. Делаем дальше.

Теперь вычислим отдельно предел в показателе по Лопиталю.

Результат
e^0 = 1
5.13.


Как и в 4.13, найдем отдельно предел в показателе.



Результат
e^0 = 1
lim f(x) / g(x) = lim f'(x) / g'(x)
2.13
3.13
4.13.
Здесь exp(z) - это функция e^z. Я ее написал, чтобы не мельчить в трехэтажных показателях степеней. Делаем дальше.
Теперь вычислим отдельно предел в показателе по Лопиталю.
Результат
e^0 = 1
5.13.
Как и в 4.13, найдем отдельно предел в показателе.
Результат
e^0 = 1
Вас заинтересует
2 года назад
7 лет назад
7 лет назад
10 лет назад
10 лет назад
10 лет назад