Ответы
Ответ дал:
0
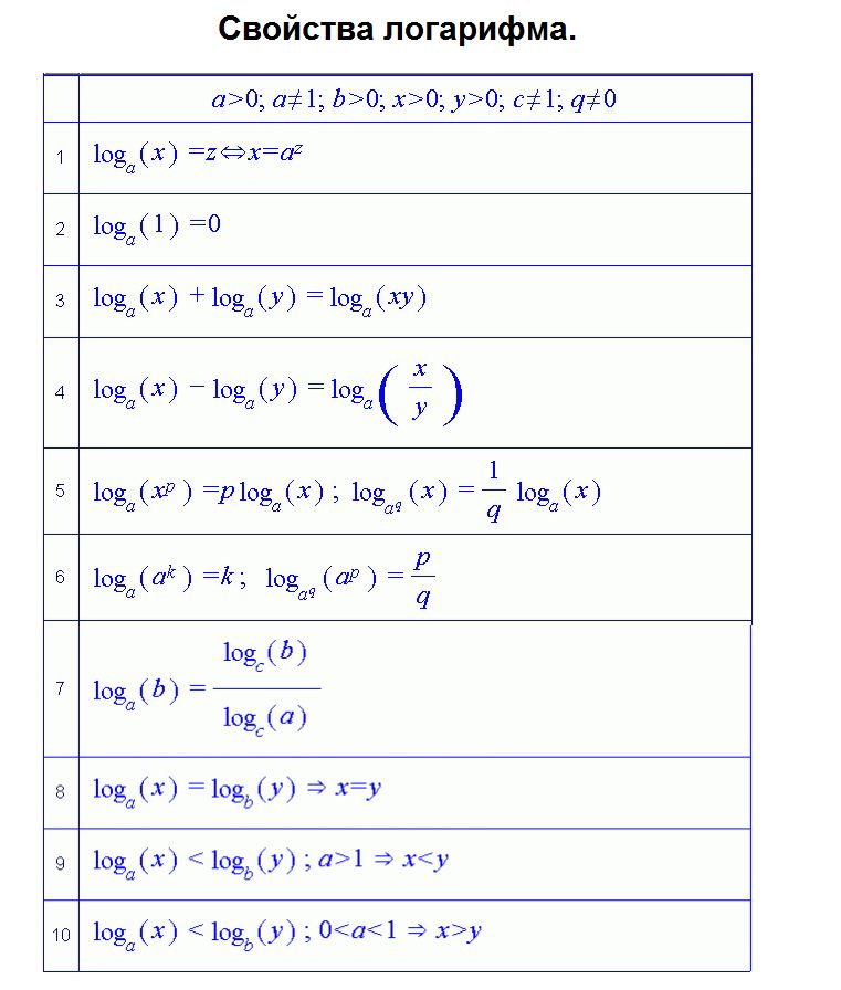
это задание на одно свойство
(+ все св-ва во вложении)
log 3(-10x-14)=4
-10x - 14 = 3^4
-10x - 14 = 81
-10x = 81 +14
-10x = 95
x = -9,5
Приложения:

Вас заинтересует
2 года назад
2 года назад
8 лет назад
10 лет назад
10 лет назад