• Предмет: Алгебра
  • Автор: anja1666
  • Вопрос задан 11 лет назад

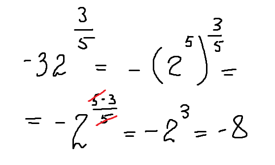
сколько будет -32 в степени 0,6

Ответы

Ответ дал: Аноним
0

подробюнее некуда))

 

 

 ================================================

 

Приложения:
Вас заинтересует