найдите значения выражения: cos(alpha-beta), если sin a × sin b = 1/2 и alpha+beta= 3pi/2;
2. корень из 2 × cos(alpha-beta),если cos a × cos b= 1/2 и alpha+beta= 5pi/2.
найдите наибольшее и наименьшее значения выражения: sin(alpha+pi/8)cos(alpha-pi/24).
можете все подробно решить плиииз..даю 100 баллов
Ответы
Ответ дал:
0
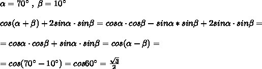
.............................................................................................................................................решение на фото примерное..........................................
Приложения:

Вас заинтересует
2 года назад
7 лет назад
7 лет назад
9 лет назад
9 лет назад
10 лет назад