Ответы
Ответ дал:
0
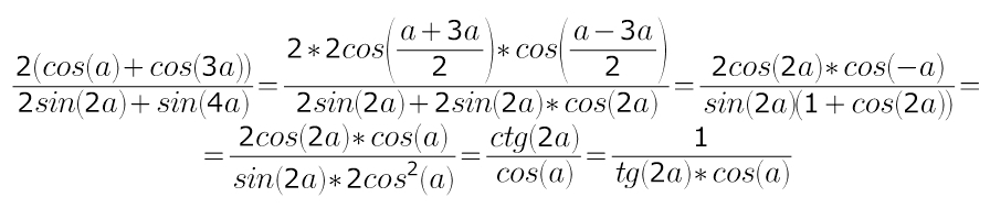
Cosα+Cos3α=2Cos2α*Cosα
Sin4α=Sin(2α+2α)=Sin2αCos2α+Cos2α*Sin2α=2Sin2α*Cos2α

Sin4α=Sin(2α+2α)=Sin2αCos2α+Cos2α*Sin2α=2Sin2α*Cos2α
Ответ дал:
0
такое ощущение, что еще должно было что-то сократиться))
Приложения:

Вас заинтересует
2 года назад
2 года назад
7 лет назад
7 лет назад
9 лет назад
10 лет назад
10 лет назад