• Предмет: Алгебра
  • Автор: skysi
  • Вопрос задан 11 лет назад

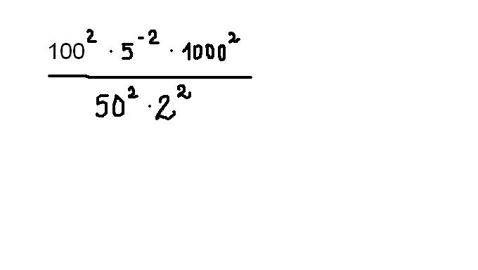
Найти значение выражения. в ответе должно получится 0,32.а у меня выходит 0,64. Завтра пишу цт и хотелось бы понять как подобное решать,если кто чем поможет ,то спасибо)

Приложения:

Ответы

Ответ дал: Матов
0

Ответ   не 0,64 и  не 0,32

(100^2 *5^-2 *1000^2)/(100)^2 = 5^-2*1000^2= 40 000

 

 

 

 

Вас заинтересует