• Предмет: Алгебра
  • Автор: axilles5157
  • Вопрос задан 9 лет назад

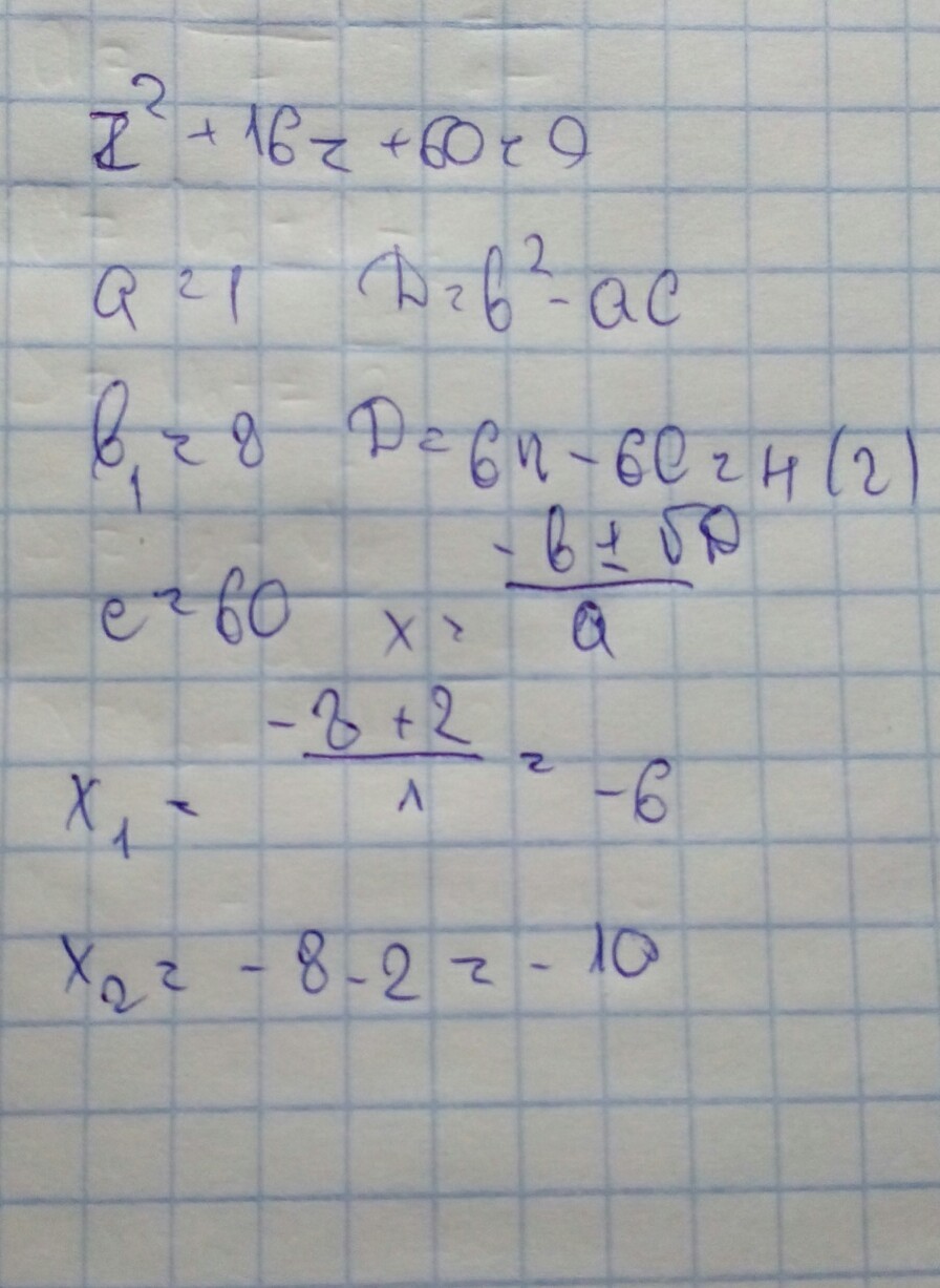
Решить уравнение: z^2+16z+60=0 Найдите ДВА корня

Ответы

Ответ дал: FrolikKrolik433
0
вот подробное решение
Приложения:
Ответ дал: Kixcertborn2
0
Zadanie resheno!!!!!!!!
Приложения:
Вас заинтересует