• Предмет: Математика
  • Автор: Аноним
  • Вопрос задан 11 лет назад

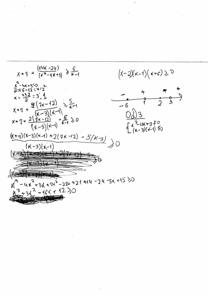
Ребята,помогите пожалуйста с неравенством,очень надо,я пробую,но у меня в конце 4ая и 3яя степени получаются,не знаю,что делать дальше...

 

 

х+7+(14х-24)/(х^2-4x+3)>=5/x-1

Ответы

Ответ дал: kiskam
0

атататататататататататататата

Приложения:
Ответ дал: nikitaaz
0

===============================================

 

Приложения:
Вас заинтересует