• Предмет: Математика
  • Автор: Аноним
  • Вопрос задан 11 лет назад

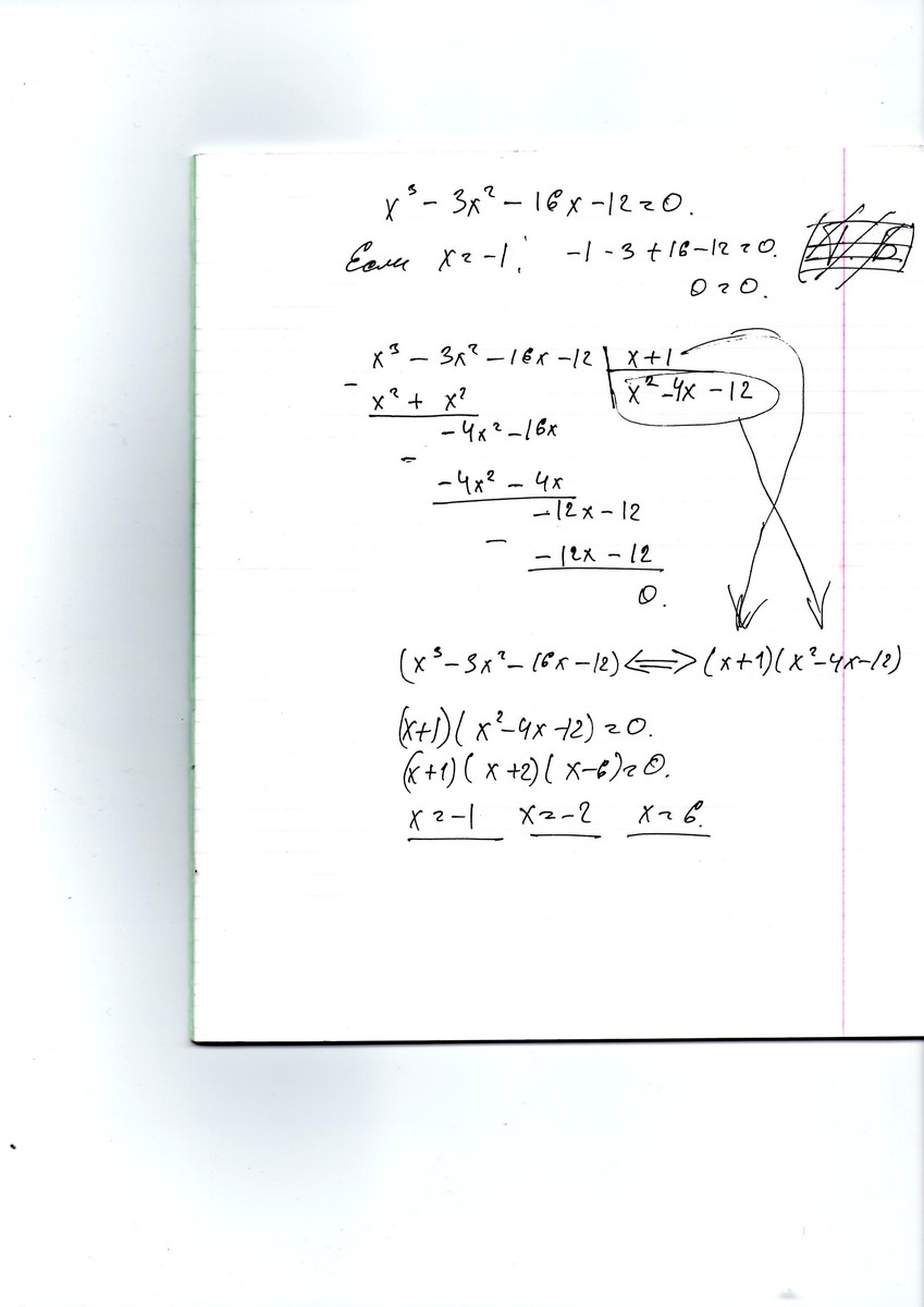
Х^3-3X^2-16X-12=0

Решите пжл

Ответы

Ответ дал: CyberPunk
0

 x^3-3x^2-16x-12=0

Методом подбора находим корень x=-1

Делим всё выражение на (x+1) для того,чтобы его разбить на множители :

(x+1)(x^2-4x-12)=0

(x+1)(x+2)(x-6)=0

x+1=0   x+2=0   x-6=0

x=-1       x=-2       x=6

 

 

 
Приложения:
Вас заинтересует