• Предмет: Математика
  • Автор: 19MeGusto98
  • Вопрос задан 9 лет назад

Помогите решить, пожалуйста.
предел, х стремящийся к -3,

Приложения:

Ответы

Ответ дал: moboqe
0
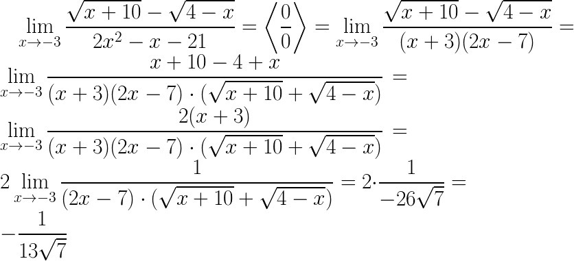
 $$HUGE lim_{xrightarrow {-3}}{sqrt{x+10}-sqrt{4-x}over2x^2-x-21}=left langle {0over0} right rangle=lim_{xrightarrow {-3}}{sqrt{x+10}-sqrt{4-x}over(x+3)(2x-7)}=lim_{xrightarrow {-3}}{x+10-4+xover(x+3)(2x-7)cdot(sqrt{x+10}+sqrt{4-x})}=lim_{xrightarrow {-3}}{2(x+3)over(x+3)(2x-7)cdot(sqrt{x+10}+sqrt{4-x})}=2lim_{xrightarrow {-3}}{1over(2x-7)cdot(sqrt{x+10}+sqrt{4-x})}=2cdot{1over-26sqrt7}=-{1over13sqrt7}$$
Приложения:
Вас заинтересует