Ответы
Ответ дал:
0
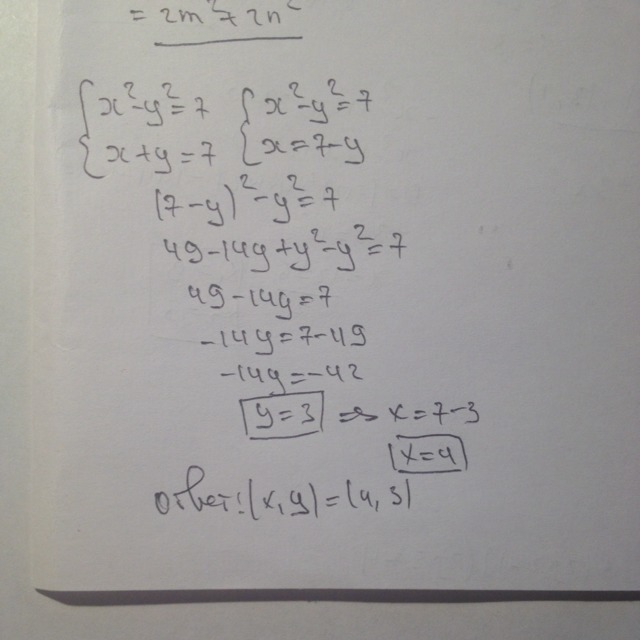
Выразим x из уравнения x+y=7. Получим: x=7-y
Подставим данное выражение в первое уравнение вместо x : (7-y)²-y²=7
Раскрываем скобки и получаем : 49-14y+y²-y²=7
-14y=-42
y=3
Теперь подставляем значение y в уравнение x=7-y : x=7-3=4
Ответ:(4;3)
Подставим данное выражение в первое уравнение вместо x : (7-y)²-y²=7
Раскрываем скобки и получаем : 49-14y+y²-y²=7
-14y=-42
y=3
Теперь подставляем значение y в уравнение x=7-y : x=7-3=4
Ответ:(4;3)
Ответ дал:
0
Zadanie resheno!!!!!!!!
Приложения:
Вас заинтересует
2 года назад
2 года назад
7 лет назад
7 лет назад
10 лет назад
10 лет назад