• Предмет: Математика
  • Автор: Аноним
  • Вопрос задан 9 лет назад

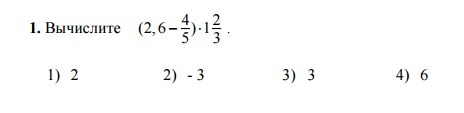
Кдр 7 класс,алгебра 1 вариант 2017 год.Кто решит,получит 15 балов,просьба так же найти другие варианты и ответ,спасибо

Приложения:

Ответы

Ответ дал: vorklol
0
1)3 
2)72
3)2m²+2n²
4)6
5)2
6)24
7)70
8)2
Вас заинтересует