• Предмет: Математика
  • Автор: tytti
  • Вопрос задан 9 лет назад

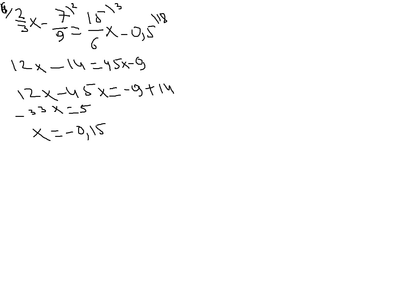
1 2/3x- 7/9=1 5/6x-0,5

Ответы

Ответ дал: kolbnuk
0
Ответь:Если так написано !

Приложения:
Ответ дал: tytti
0
https://znanija.com/task/23988609
Вас заинтересует