• Предмет: Математика
  • Автор: tolgonaykaldyb
  • Вопрос задан 9 лет назад

ПОЖАЛУЙСТА!СРОЧНО!
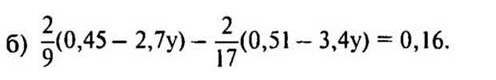
1. Решите уравнение:

а) 0,7х — 0,4х — 0,98х = 12,73;

Приложения:

Ответа на этот вопрос пока нет. Попробуйте найти его через форму поиска.

Вас заинтересует